• 흐림속초7.6℃
  • 박무2.3℃
  • 흐림철원3.4℃
  • 흐림동두천4.4℃
  • 구름많음파주5.4℃
  • 흐림대관령0.5℃
  • 흐림춘천2.6℃
  • 연무백령도6.7℃
  • 흐림북강릉7.9℃
  • 흐림강릉8.1℃
  • 흐림동해8.6℃
  • 연무서울5.7℃
  • 연무인천5.9℃
  • 구름많음원주4.9℃
  • 구름많음울릉도7.8℃
  • 구름많음수원7.3℃
  • 구름많음영월4.6℃
  • 맑음충주5.3℃
  • 맑음서산6.7℃
  • 흐림울진9.6℃
  • 연무청주7.1℃
  • 구름조금대전7.4℃
  • 구름많음추풍령6.2℃
  • 구름많음안동6.4℃
  • 흐림상주7.0℃
  • 구름많음포항10.9℃
  • 맑음군산7.9℃
  • 흐림대구9.0℃
  • 맑음전주8.2℃
  • 구름많음울산9.6℃
  • 맑음창원8.7℃
  • 맑음광주9.1℃
  • 맑음부산9.7℃
  • 맑음통영9.1℃
  • 구름많음목포8.5℃
  • 맑음여수8.5℃
  • 구름많음흑산도8.8℃
  • 맑음완도9.9℃
  • 맑음고창7.9℃
  • 맑음순천8.9℃
  • 구름조금홍성(예)7.1℃
  • 맑음7.0℃
  • 구름많음제주11.1℃
  • 흐림고산10.1℃
  • 맑음성산11.5℃
  • 구름많음서귀포11.0℃
  • 구름많음진주10.0℃
  • 구름많음강화5.5℃
  • 구름많음양평5.1℃
  • 구름많음이천5.4℃
  • 흐림인제2.4℃
  • 구름많음홍천4.0℃
  • 흐림태백2.4℃
  • 구름많음정선군3.9℃
  • 맑음제천4.0℃
  • 구름많음보은6.6℃
  • 구름많음천안7.1℃
  • 맑음보령6.7℃
  • 맑음부여7.7℃
  • 구름많음금산7.5℃
  • 구름조금7.1℃
  • 맑음부안8.1℃
  • 맑음임실7.4℃
  • 맑음정읍8.1℃
  • 맑음남원8.7℃
  • 맑음장수6.1℃
  • 맑음고창군8.1℃
  • 구름많음영광군7.6℃
  • 맑음김해시10.6℃
  • 맑음순창군8.1℃
  • 구름많음북창원10.8℃
  • 맑음양산시11.2℃
  • 맑음보성군9.9℃
  • 맑음강진군9.3℃
  • 맑음장흥9.9℃
  • 구름많음해남9.0℃
  • 맑음고흥9.8℃
  • 맑음의령군9.0℃
  • 구름많음함양군8.9℃
  • 맑음광양시9.9℃
  • 구름많음진도군9.2℃
  • 구름많음봉화4.2℃
  • 흐림영주4.7℃
  • 구름많음문경6.1℃
  • 구름많음청송군6.4℃
  • 흐림영덕8.0℃
  • 흐림의성7.4℃
  • 구름많음구미7.9℃
  • 맑음영천7.9℃
  • 구름많음경주시9.8℃
  • 구름많음거창9.0℃
  • 맑음합천11.2℃
  • 맑음밀양10.4℃
  • 맑음산청8.5℃
  • 맑음거제8.1℃
  • 맑음남해9.5℃
  • 맑음11.0℃
기상청 제공

2026년 02월 04일 (수)

“오십견, 물리치료보다 약침 치료가 유의미한 개선 효과”

“오십견, 물리치료보다 약침 치료가 유의미한 개선 효과”

유착성관절낭염의 약침 치료 효과 확인, 국제학술지에 게재
김두리 원장 “약침치료의 과학적 근거 강화, 환자들에게 도움”

[사진설명] 자생한방병원 의료진이 유착성관절낭염 환자에게 약침치료를 진행하고 있다.jpg

 

[한의신문] ‘오십견’으로 불리는 유착성관절낭염은 보통 40-60대 여성에게서 주로 발생하며, 어깨가 얼어붙은 것처럼 굳어 ‘동결견’이라고도 불린다. 일반적으로 비스테로이드성 항염증제(NSAID)나 관절강내 주사 및 물리치료 등 다양한 보존 치료가 진행되고 있지만, 특히 한의치료를 선택하는 환자가 많은 질환으로도 꼽힌다. 하지만 이러한 치료법 간의 호전 효과를 비교한 연구는 부족한 실정이다.


이런 상황 속 자생한방병원 척추관절연구소(소장 하인혁) 김두리 원장 연구팀은 유착성관절낭염에 대한 약침치료의 효과와 안전성을 입증했다고 14일 밝혔다. 연구 결과, 약침치료가 물리치료보다 통증·기능·가동범위 등의 측면에서 더 유의미한 개선 효과를 보였다. 해당 연구는 SCI(E)급 국제학술지 ‘통합의학연구(Integrative Medicine Research (IF= 3.4))’에 게재됐다. 


약침치료는 침의 물리적 자극과 한약추출물의 약리적 효과가 결합돼 치료 효과를 극대화한다. 염증과 통증을 빠르게 완화시킴과 동시에 손상된 신경과 연골, 기타 연부조직의 회복도 촉진해 다양한 근골격계 질환 치료에 널리 활용되고 있다. 


연구팀은 중등도 이상의 통증을 호소하는 유착성관절낭염 환자 50명을 약침치료군과 물리치료군으로 무작위 배정해 6주간 주 2회씩 치료하고, 이후 13주까지 경과를 추적했다. 약침치료군은 신바로·황련해독탕 등의 약침이 사용됐으며, 물리치료군은 간섭파치료와 심부열치료 등이 시행됐다.

 

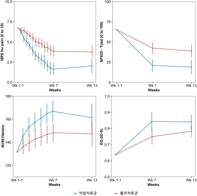
[사진설명] 약침치료군과 물리치료군의 NRS, SPADI, ROM, EQ-5D-5L 비교 그래프.jpg

 

연구 결과, 치료가 끝난 직후인 7주차와 최종 관찰 시점인 13주차 모두 약침치료군이 물리치료군 보다 대부분의 지표에서 더 나은 결과를 보였다. 통증숫자평가척도(NRS; 0~10/높을수록 통증이 심함)로 평가한 통증 수치는 두 치료군 모두 치료 전 중증 수준인 평균 7을 기록했으나, 약침치료군은 7주차에 1.63으로 떨어져 약 76%의 감소 폭을 보였다. 반면, 물리치료군은 같은기간 3.85로 45% 감소해 약침치료군이 더 큰 개선 효과를 나타냈다. 통증을 시각적으로 표시하는 통증시각평가척도(VAS)에서도 약침치료군의 통증 감소 효과가 더 뛰어났다.


기능 개선 척도인 어깨통증장애지수(SPADI; 0~100/높을수록 장애가 심함)에서도 약침치료군은 치료 전 62.6에서 7주 후 20.89로, 물리치료군에서는 67.8에서 42.42로 각각 개선되며 약침치료군이 더 높은 치료 효과를 보였다. 어깨의 관절가동범위(ROM) 검사에서도 마찬가지 결과가 도출됐다.


특히 두 치료군은 삶의 질 지표에서도 유의한 차이를 보였는데, 약침치료군이 물리치료군보다 삶의 질 개선세가 뚜렷했다. EQ-5D-5L 점수(0~1, 높을수록 삶의 질 좋음)에서 7주차에 약침치료군은 0.84, 물리치료군은 0.75를 기록했으며, 13주차에도 차이가 유지됐다. 

 

[사진설명] 자생한방병원 척추관절연구소 김두리 원장.jpg

 

김두리 원장(사진)은 “이번 연구를 통해 유착성관절낭염에 있어 약침치료가 물리치료 대비 효과적인 치료가 될 수 있음을 확인할 수 있었다”며 “아울러 이번 연구가 대규모 임상에 앞서 진행되는 파일럿 연구인 만큼, 향후 약침치료에 대한 과학적 근거가 강화돼 삶의 질 저하로 어려움을 겪는 환자들에게 도움이 되길 바란다”고 말했다.

 

관련기사

가장 많이 본 뉴스

더보기
  • 오늘 인기기사
  • 주간 인기기사

최신뉴스

더보기

뉴스

더보기