건보 표본코호트 9865명 분석…“초기·규칙적 침 치료에서 생존율 개선”
▲(왼쪽부터) 전형선 교수, 이예슬 원장, 임정태 교수
[한의신문] 원광대 한의대 한의임상중개연구실 임정태 교수 연구팀이 대규모 코호트 연구를 통해 65세 이상 허혈성 심질환 환자에서 진단 후 초기 침치료 노출이 5년 사망률을 낮추는 것과 연관성이 있음을 확인했다고 밝혔다.
이번 연구는 침 치료가 고령 심장질환 환자의 장기 생존 예후에 긍정적 영향을 미칠 수 있음을 보여주는 국내 최초의 분석이라는 점에서 주목된다.
제1저자인 전형선 동신대 한의대 진단학교실 교수와 공동 교신저자 이예슬 자생척추관절연구소 원장·임정태 원광대 한의대 교수는 이 같은 내용을 담은 ‘Early acupuncture exposure and mortality in older adults with ischemic heart disease: A nationwide cohort study in Korea’라는 제하의 논문을 SCI(E)급 국제학술지 ‘Integrative Medicine Research(IF 3.0, Q2)’에 발표했다.
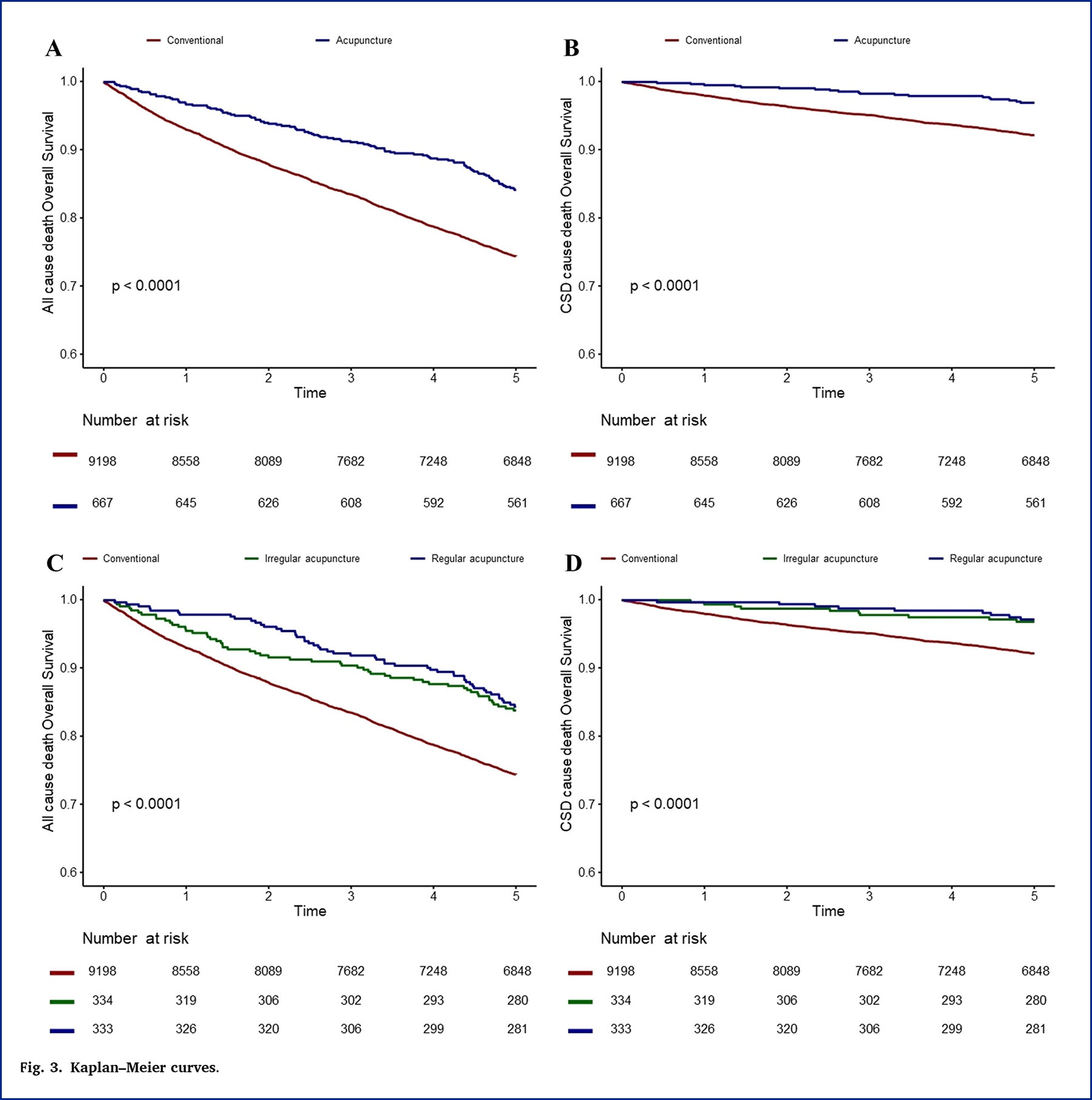
■ 건보 표본코호트 활용, 침 치료군 대 대조군 5년 생존율 정밀 분석
논문에 따르면 허혈성 심질환은 국내 노인 인구의 주요 사망 원인 중 하나로, 다약제 복용에 따른 부작용 위험이 높고, 표준 치료만으로는 통증·호흡 곤란·불안·피로 등 다양한 임상적 요구를 충족시키기 어렵다. 이에 따라 보완적 치료의 필요성이 꾸준히 제기돼 왔으며, 이러한 배경에서 침 치료를 포함한 통합의학적 접근이 예후 개선에 도움을 줄 수 있다는 관심이 커지고 있다.
이에 연구팀은 국민건강보험공단(NHIS) 표본 코호트에 기반한 대규모 분석을 실시해 침 치료가 노인 허혈성 심질환 환자의 생존율에 어떠한 영향을 미치는지 규명하고자 했다.
연구에는 2007년 1월부터 2014년 6월까지 새롭게 허혈성 심질환 진단을 받은 65세 이상 환자 9865명이 포함됐다. 이 중 진단 후 6개월 이내 6회 이상 침 치료를 받은 667명을 침 치료군으로, 침 치료 경험이 없는 9198명을 대조군으로 분류했다.
연구의 지표일(Index date)은 최초 진단 후 6개월 시점으로 설정했으며, 이 시점부터 연구 종료일까지 최대 5년간 전체 사망률과 순환기계 질환 사망률(ICD I00–I99)을 추적했다.
■ 건강행태·동반질환·재관류술 보정, 침 치료군의 전체·순환기 사망률 낮춰
분석 결과, 침 치료군의 5년 전체 사망률은 대조군보다 유의하게 낮았다(aHR 0.71, 95% CI 0.58–0.88).
순환기계 질환 특이 사망률 역시 침 치료군에서 더 낮게(aHR 0.54, 95% CI 0.34–0.89) 나타났는데, 이는 침 치료가 고령 허혈성 심질환 환자의 예후 개선에 기여할 가능성을 시사한다.
연구팀은 이러한 차이가 기저 특성의 영향이 아님을 확인하기 위해 건강행태, 사회경제적 요인, 질병 중증도 등을 폭넓게 보정했다.
보정 항목에는 △흡연 상태(비흡연·과거흡연·현재흡연) △알코올 섭취 여부 △BMI 범주 △건강검진 기록 유무 등이 포함됐으며, NHIS 연구에서 흔히 발생하는 ‘건강 습관 편향(healthy user bias)’을 통제하기 위해 지표일 기준 1년 전 서양의학 외래 방문 횟수를 반영했다.
질병 중증도 보정에는 CHA₂DS₂-VASc 점수와 Charlson Comorbidity Index(CCI)가 포함됐으며 고혈압, 당뇨병, 고지혈증, COPD, 암, 만성 신장·간질환, 심방세동, 심부전 등 주요 동반질환 여부도 면밀히 확인했다.
사회인구학적 요인은 연령대, 성별, 거주 지역, 소득 수준, 장애 등급 등을 모두 고려했으며, 지표일 이전 6개월간 받은 재관류술(무치료·혈전용해술·PCI·CABG) 여부도 분석해 치료 접근성과 임상 경과 차이를 통제했다.
■ 전문가들 “초기·규칙적 침 치료 중요”…향후 RCT 필요성 제기
특히 연구팀은 침 치료의 규칙성에 따른 차이도 살펴봤다.
그 결과 규칙적으로 침 치료를 받은 환자가 불규칙적 치료군이나 미치료군에 비해 생존율이 더 높았다. 이는 허혈성 심질환 진단 초기의 규칙적 침 치료가 예후에 긍정적 영향을 줄 수 있음을 보여준다.
이예슬 원장은 “침 치료군 환자들이 평균적으로 더 젊고, 여성 비율이 높았으며, 중증 장애 비율과 동반질환 지수가 높았다”며 “이러한 특성을 보정한 후에도 침 치료 노출과 사망률 감소 간의 연관성이 유지됐다”고 설명했다.
다만 연구팀은 이번 연구의 한계점을 명확히 밝혔는데, “관찰 연구로서 침치료와 사망률 감소 간 연관성을 확인했으나 인과관계에 대해서는 추가적 연구가 필요하며, 침 치료의 구체적인 혈위나 기법에 대한 정보가 부족하고, 흡연, 음주, 체질량지수 등 건강 습관에 대한 보정이 충분하지 않았다”고 설명했다.
전형선 교수는 “이번 연구는 실제 임상 환경에서 다양한 침 치료 방식이 평균적으로 미치는 영향을 반영한다는 점에서 의의가 있다”며 “다만 후속 침 치료 변화를 반영하지 못한 점 등 잔여 교란 가능성이 있어 해석에 주의가 필요하다”고 강조했다.
아울러 임정태 교수는 “이번 연구 결과는 허혈성 심질환 진단 초기 단계에서 침 치료 노출이 생존 예후와 연관될 수 있음을 시사한다”며 “향후 무작위 대조 임상시험 등 전향적 연구를 통해 인과관계를 규명하고, 최적의 침 치료 빈도와 기간을 확립하는 것이 필요하다”고 말했다.
한편 이번 연구는 한국연구재단 세종펠로우십 과제와 한국한의약진흥원의 근거합성연구 지원을 받아 수행됐다.
많이 본 뉴스
- 1 경희대 한의대, 한의교육학 1호 박사 배출
- 2 8주 치료 제한 제동…‘자동차손배법 개정안’ 사실상 연기
- 3 “한의사의 의료용 아산화질소·산소 사용…법적 문제 없다”
- 4 “한의약 기반 소방의학 제도화, ‘국립소방병원 한의과 설치’로 견인"
- 5 “한의약지역사업정보센터 플랫폼 통해 한의 일차의료 발전 기회 마련”
- 6 한의사 9명…"최근 20년간의 문신 관련 의학 연구 동향 분석”
- 7 “수요자·공급자 모두 원하는 한의 소방의학, 국립소방병원이 촉매제”
- 8 대전시한의사회, ‘지역일차의료특위’ 구성…주치의제 개선 추진
- 9 네팔과 히말라야가 전하는 겸손
- 10 “한약재 ‘대마’, 마약 아닌 미래산업”…‘위험 기반 관리’로 전환 촉구



