• 흐림속초11.6℃
  • 비9.1℃
  • 흐림철원10.7℃
  • 흐림동두천10.0℃
  • 흐림파주9.3℃
  • 흐림대관령8.6℃
  • 흐림춘천9.5℃
  • 비백령도7.9℃
  • 비북강릉12.1℃
  • 흐림강릉14.0℃
  • 흐림동해14.2℃
  • 비서울9.4℃
  • 비인천9.5℃
  • 흐림원주8.4℃
  • 비울릉도12.9℃
  • 비수원9.1℃
  • 흐림영월7.3℃
  • 흐림충주9.0℃
  • 흐림서산9.0℃
  • 흐림울진13.7℃
  • 비청주10.3℃
  • 비대전10.0℃
  • 흐림추풍령10.5℃
  • 비안동9.9℃
  • 흐림상주7.5℃
  • 비포항15.1℃
  • 흐림군산13.6℃
  • 비대구13.7℃
  • 비전주15.5℃
  • 비울산13.2℃
  • 비창원13.8℃
  • 비광주15.9℃
  • 비부산13.5℃
  • 흐림통영14.0℃
  • 비목포16.4℃
  • 비여수14.1℃
  • 비흑산도14.7℃
  • 흐림완도16.7℃
  • 흐림고창16.3℃
  • 흐림순천14.1℃
  • 비홍성(예)9.1℃
  • 흐림9.3℃
  • 천둥번개제주19.7℃
  • 흐림고산17.0℃
  • 흐림성산17.4℃
  • 천둥번개서귀포18.1℃
  • 흐림진주11.0℃
  • 흐림강화9.4℃
  • 흐림양평9.3℃
  • 흐림이천8.6℃
  • 흐림인제10.6℃
  • 흐림홍천9.2℃
  • 흐림태백9.8℃
  • 흐림정선군9.3℃
  • 흐림제천8.6℃
  • 흐림보은11.5℃
  • 흐림천안9.8℃
  • 흐림보령13.9℃
  • 흐림부여9.3℃
  • 흐림금산10.8℃
  • 흐림9.4℃
  • 흐림부안16.6℃
  • 흐림임실15.3℃
  • 흐림정읍17.1℃
  • 흐림남원17.2℃
  • 흐림장수13.6℃
  • 흐림고창군16.2℃
  • 흐림영광군16.5℃
  • 흐림김해시13.1℃
  • 흐림순창군16.0℃
  • 흐림북창원15.0℃
  • 흐림양산시15.2℃
  • 흐림보성군15.0℃
  • 흐림강진군16.7℃
  • 흐림장흥15.8℃
  • 흐림해남17.0℃
  • 흐림고흥15.8℃
  • 흐림의령군11.9℃
  • 흐림함양군13.1℃
  • 흐림광양시14.3℃
  • 흐림진도군16.8℃
  • 흐림봉화8.3℃
  • 흐림영주6.8℃
  • 흐림문경7.6℃
  • 흐림청송군14.0℃
  • 흐림영덕14.4℃
  • 흐림의성12.3℃
  • 흐림구미11.9℃
  • 흐림영천12.9℃
  • 흐림경주시14.3℃
  • 흐림거창11.1℃
  • 흐림합천10.6℃
  • 흐림밀양14.5℃
  • 흐림산청14.4℃
  • 흐림거제14.5℃
  • 흐림남해15.3℃
  • 비14.4℃
기상청 제공

2026년 04월 09일 (목)

부산 한의치매예방관리사업, 지역 치매관리의 한 축 담당

부산 한의치매예방관리사업, 지역 치매관리의 한 축 담당

2016년부터 시작돼 10년째 인지기능 및 심리증상 개선 효과 입증
향후 건강설문조사 도입 및 고독사 예방프로그램 접목 등 발전 지속
부산시한의사회, ‘2025년 한의치매예방관리사업 보고서’ 발간

부산치매1.png

[한의신문] 부산광역시한의사회(회장 송상화)가 부산광역시와 함께 11년째 진행하고 있는 한의치매예방관리사업(이하 한의치매사업)’이 참여자들의 전반적인 인지기능 향상은 물론 우울증이나 화병과 같은 심리증상 개선 효과가 있음이 입증됐다.

 

부산시한의사회는 최근 ‘2025년 한의치매예방관리사업 보고서발간을 통해 사업 추진 경과 및 결과, 향후 사업 개선방향 등을 제언했다.

 

지난해 사업은 부산시 관내에 거주하는 만 55세 이상 시민들을 대상으로 모집을 진행, 평가 및 상담·진찰 내용을 통해 경도인지장애 판정을 받은 619명을 대상으로 사업을 시작했다. 사업은 중도에 탈락기준에 해당하는 참여자 144명이 제외돼, 최종적으로 475명이 사업을 완주했다.

 

지정 한의원(한방병원)은 임상경험이 풍부한 한의사를 대상으로 한의치매예방사업단의 교육을 이수하고 참여 약정서를 제출한 곳으로, 대상자의 접근성을 고려해 각 구·군마다 210개소, 90여 개소를 선정해 인지평가를 포함해 한의진료를 시행토록 했다.

 

약물·비약물 치료 후 표준화된 검사도구로 치료효과 검증

치료방법은 참여자를 대상으로 6개월간 약물 치료(변증별 한약제제)와 비약물 치료(·약침)가 진행됐으며, MoCA CIST GDepS(단축형) 등의 표준화된 검사 도구를 활용해 치료효과를 검증했다.

약물 치료의 경우 처방된 한약은 가미귀비탕 육미지황환 당귀작약산 크라시에엑스세립으로 GMP시설에서 제조되고, 식약처 안전성 평가를 통과한 제품을 활용했다. 처방 선정은 배정된 참여자를 대상으로 부수적인 증상이나 체질을 변증해 결정됐으며, 참여자들은 6개월간 12회 아침·저녁 식후에 복용토록 했다.

 

또한 비약물 치료 중 침치료는 6개월간 주 2회 시행했으며, 자침 혈위는 신경인지장애에 관한 침치료 효과에 관한 연구 및 치매한의표준임상진료지침을 바탕으로 선정했다. 아울러 약침치료는 6개월간 주 1회 부산시한의사회 원외탕전실에서 조제된 자하거약침을 풍부(GV16)·대추(GV14) 각각 0.2cc, 풍지(GB20)·견정(GB21) 각각 0.1cc씩 총 0.8cc를 주입했다.

 

부산치매2.png

연속 사업 참여자 분석인지기능 개선 효과 유지

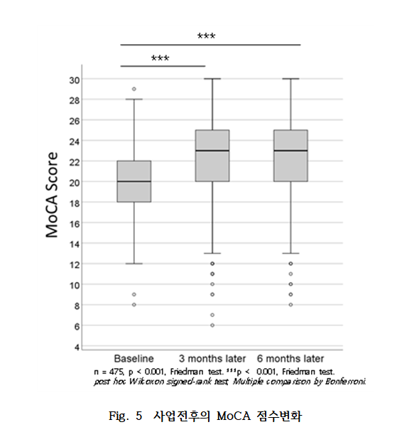
한의치매사업 결과 먼저 MoCA CIST 점수에 대해 사업 참여 전·후를 비교해 인지기능 개선효과를 분석했으며, 사업완료 인원 중 ANSYS에 등록된 MCI 환자를 제외하고 총 356명이 CIST 검사를 시행했다. MoCA 점수는 매년 사업 결과와 마찬가지로 모든 구간에서 통계적으로 유의한 인지기능 개선이 나타났으며(p<0.05), CIST 점수도 paired T test를 실시한 결과 사업 전·후에 유의하게 점수가 상승했다(p<0.05).

 

또한 GDepS(단축형) 점수의 사업 참여 전·후를 비교해 노인 우울척도 개선효과를 분석한 결과 통계적으로 유의하게 감소((p<0.05)한 것으로 나타났다.

 

이와 함께 변증에 의한 3종의 한약제제에 대한 각각의 효과를 살펴보면, 절반 이상이 가미귀비탕을 복용한 가운데 인지기능 점수(MoCA) 및 우울척도(GDepS) 변화량의 차이를 분석한 결과, 모든 군에서 치료 전과 비교해 인지기능 점수가 통계적으로 유의하게 증가(p<0.05)한 것으로 나타났다.

 

아울러 2016년부터 진행되고 있는 한의치매사업에는 최대 3회까지 참여할 수 있어, 연속으로 사업에 참여한 대상자들의 분석을 통해 치료 효과에 대한 지속성 등도 함께 분석한 결과 1년 참가자 3022년 연속참가자 1213년 연속참가자 43명으로 분류됐다.

 

먼저 2년 연속 참가자(20242025, 3년 연속 제외)를 대상으로 MoCA 점수의 변화를 살펴본 결과 1회차 사업 전후에 유의하게 점수가 상승했으며, 비사업기간(6개월)에는 사업 전에 비해 유의한 차이는 없었지만, 2회차 사업 참여로 다시 유의하게 인지점수가 상승(p<0.05)한 것이 확인됐다. 또한 3년 연속 참가자(20232025)의 경우엔 연도별 사업 전후의 인지 개선은 매년 유의하게 유지된 것으로 나타났다.

 

부산치매3.png

89.1% 사업에 대한 만족감89.3% 재참여 의사 밝혀

또한 MoCA검사 영역별 사업 전후 인지점수의 유의한 개선이 있는지를 paired T test 통해 관찰한 결과에서는 이름대기(어휘력)와 지남력을 제외하고 시공간/집행기능 주의력 언어능력 추상력 지연회상력 등 모든 영역에서 사업 참여 전후 인지점수가 통계적으로 유의하게 개선됐다.

 

이밖에 화병증상 척도에 대해 사업 참여 전후를 비교한 결과 화병척도 점수가 통계적으로 유의하게 감소(p<0.05)한 가운데 화병 고위험군(30점 이상)을 대상으로 사업 참여 전후를 분석한 결과에서도 평균 7.2점 감소하는 것으로 나타났다(p< 0.05).

 

특히 한의치매사업 종료 후 사업 완료자 475명을 대상으로 설문조사를 실시한 결과, 89.1%가 사업 전반에 대해 만족을 나타냈으며, 89.3%가 기회가 되면 다시 사업에 참여했으면 좋겠다는 의향을 보였으며, 치료방법은 약침--한약 순으로 만족도가 높았다.

 

부산치매4.png

치매 관리 중추적 역할 위한 역량 강화 집중

한편 이번 보고서에서는 2016년부터 진행된 한의치매사업은 그동안 경도인지장애에 대한 개선 효과가 지속적으로 입증됨에 따라 향후 보다 많은 시민들에게 혜택이 돌아갈 수 있는 향후 추진방향에 대해서도 제시했다.

 

실제 부산은 2021년에 초고령사회로 진입함에 따라 치매관련 질환 역시 앞으로 크게 증가할 것으로 예상되며, 돌봄 사각지대에 있는 치매환자가 치매지원서비스에 대한 정보 제공만으로 상황을 스스로 개선할 수 없는 경우 치매지원 서비스를 적극적으로 제공 및 연계해 돌봄 사각지대를 해소할 필요가 있으며, 특히 맞춤형 사례관리 중 집중관리 대상자의 경우에는 월 1회 이상 개입이 권고되고 있는 상황이다.

 

이를 대비하기 위해 구·군 치매안심센터와의 협력을 통해 치매 관련 진료를 담당할 한의원의 역량을 강화하는 등 지역 의료기관과의 연계를 적극 도모해야 한다고 제언했다. 이를 위해 부산시한의사회는 지난 ’22년과 ’23한의치매 역량 강화 교육을 진행하는 한편 경도 치매환자를 대상으로 맞춤형 사례관리사업을 진행하는 등 지역 치매 관리에 대한 중추적인 역할을 위한 기반을 다져나가고 있다.

 

더불어 한의치매사업에 ’20년부터 전산 프로그램을 도입해 구·군 치매안심센터와 참여한의원(한방병원)에서 활용해오고 있다. 이를 통해 대상자 모집, 선정, 참여 등에 관한 행정적 업무의 효율을 높이고 사업 대상자의 장기추적을 용이하게 했으며, 사용자의 의견을 반영하여 매년 업데이트를 진행하는 등 보다 안정적인 사업 관리체계를 완성해 나갈 계획이다.

 

한의치매사업 시스템은 현재도 진화 중

또한 ’24년 사업 진행비율(81.4%)에 비해 ’25년에는 증가했지만 향후 참여율을 높이기 위한 홍보에 더욱 집중할 방침이며, 아울러 사업 참여 도중 2주 이상 내원하지 않아 중도 탈락하는 사례를 분석한 결과 본인이나 가족의 건강 악화로 인한 입원 및 간병이 주된 원인으로 나타난 만큼, 참여 지속 의사가 있는 참여자에 한해선 공백기 동안 일시적인 방문 진료 서비스를 제공하는 보완책을 마련할 예정이다.

 

이와 관련 이경석 부산시한의사회 부회장은 참여 한의원의 적극적인 참여로 한의치매사업의 매년 성과를 거두고 있어, 지면을 통해 감사의 말을 전한다면서 앞으로도 한의치매사업에서는 참여자의 자살위험 스크리닝을 통해 자살고위험군이 10명으로 나타난 만큼, 독거노인 케어 서비스 업체와의 연계를 통해 고독사를 예방할 수 있는 방안을 모색하는 한편 향후 한의치매사업에 환자가 체감하는 삶의 질을 측정하는 평가도구인 건강 설문조사(EQ-5D-5L)’를 도입해 참여 시민들의 치료 만족도를 더욱 깊이 있게 분석해 나가는 등 사업의 경제적 가치를 객관적으로 입증해 한의치매사업 시스템을 한 단계 더 발전시켜 나가도록 최선을 다하겠다고 강조했다.

 

 

관련기사

가장 많이 본 뉴스

더보기
  • 오늘 인기기사
  • 주간 인기기사

최신뉴스

더보기

뉴스

더보기