• 맑음속초-1.1℃
  • 맑음-7.6℃
  • 맑음철원-8.2℃
  • 맑음동두천-5.6℃
  • 맑음파주-6.6℃
  • 맑음대관령-7.2℃
  • 맑음춘천-5.8℃
  • 구름조금백령도3.8℃
  • 맑음북강릉-1.9℃
  • 맑음강릉0.9℃
  • 맑음동해1.5℃
  • 맑음서울-2.2℃
  • 맑음인천-0.8℃
  • 구름많음원주-4.3℃
  • 비 또는 눈울릉도3.2℃
  • 맑음수원-3.1℃
  • 맑음영월-6.6℃
  • 맑음충주-3.8℃
  • 구름많음서산-1.3℃
  • 맑음울진0.4℃
  • 맑음청주0.5℃
  • 맑음대전-0.8℃
  • 맑음추풍령-0.4℃
  • 맑음안동-4.3℃
  • 맑음상주-0.3℃
  • 맑음포항1.2℃
  • 흐림군산0.1℃
  • 맑음대구1.0℃
  • 맑음전주0.5℃
  • 맑음울산0.5℃
  • 구름조금창원2.1℃
  • 흐림광주1.9℃
  • 맑음부산1.7℃
  • 맑음통영0.5℃
  • 구름많음목포5.4℃
  • 맑음여수2.2℃
  • 구름많음흑산도6.2℃
  • 흐림완도4.6℃
  • 구름많음고창1.1℃
  • 맑음순천1.0℃
  • 박무홍성(예)-1.8℃
  • 맑음-2.0℃
  • 흐림제주8.4℃
  • 구름많음고산8.0℃
  • 구름많음성산6.7℃
  • 구름조금서귀포6.9℃
  • 맑음진주-2.5℃
  • 맑음강화-3.4℃
  • 맑음양평-3.0℃
  • 맑음이천-3.9℃
  • 맑음인제-6.4℃
  • 맑음홍천-5.1℃
  • 맑음태백-4.7℃
  • 맑음정선군-7.7℃
  • 맑음제천-7.0℃
  • 맑음보은-2.0℃
  • 맑음천안-1.8℃
  • 흐림보령1.6℃
  • 구름조금부여-1.6℃
  • 맑음금산-1.1℃
  • 맑음-1.0℃
  • 구름많음부안0.9℃
  • 맑음임실-0.4℃
  • 흐림정읍0.5℃
  • 구름많음남원-0.1℃
  • 흐림장수-0.7℃
  • 흐림고창군0.6℃
  • 흐림영광군1.6℃
  • 맑음김해시-0.3℃
  • 맑음순창군-0.8℃
  • 맑음북창원0.8℃
  • 맑음양산시2.2℃
  • 맑음보성군1.9℃
  • 구름많음강진군2.8℃
  • 구름조금장흥2.2℃
  • 구름많음해남3.8℃
  • 맑음고흥1.0℃
  • 맑음의령군-3.1℃
  • 흐림함양군2.3℃
  • 맑음광양시0.0℃
  • 구름많음진도군6.2℃
  • 맑음봉화-6.4℃
  • 맑음영주-0.7℃
  • 맑음문경-0.9℃
  • 맑음청송군-2.1℃
  • 맑음영덕-0.6℃
  • 맑음의성-5.7℃
  • 맑음구미-1.3℃
  • 맑음영천-1.7℃
  • 맑음경주시0.9℃
  • 맑음거창-1.1℃
  • 맑음합천-1.0℃
  • 맑음밀양-1.8℃
  • 맑음산청1.8℃
  • 맑음거제2.1℃
  • 맑음남해3.4℃
  • 맑음-1.0℃
기상청 제공

2025년 12월 15일 (월)

저녁형 ‘올빼미족’, 아침형 인간보다 인지 기능 우수

저녁형 ‘올빼미족’, 아침형 인간보다 인지 기능 우수

한의학연, 수면 유형이 건강에 미치는 영향에 대한 새로운 시각 제시
저녁형 인간의 인지 기능 점수가 더 높아…기억력 감소 정도도 달라

한의학연수면 (1).PNG

 

[한의신문=강준혁 기자] 한국한의학연구원(원장 이진용·이하 한의학연)은 한의약데이터부 박지은 박사 연구팀이 아침형·저녁형과 같은 수면패턴과 인지 기능과의 관련성을 규명했다고 23일 밝혔다.

 

이번 연구성과는 국제저명학술지인 Journal of Affective Disorders(정서장애학회지, IF=4.9; JCR 상위 13.8%), BMC Public Health(영국공중보건의학회지, IF=3.5; JCR 상위 20.8%)에 1월15일, 7월10일 각각 게재됐다.

 

지금까지 수면의 영향에 대한 연구는 주로 수면시간과 수면의 질 중심으로 이뤄졌다. 아침형·저녁형이라 불리는 개인의 크로노타입(아침이나 저녁활동에 대한 개인선호도) 요인에 대한 연구는 많이 이뤄지지 않았으며, 아침형·저녁형 중 어떤 유형의 인지가 높은지는 연구마다 다르게 나타났다.

 

이번 연구는 한국한의학연구원과 영국의 임페리얼 칼리지 런던(Imperial College London)이 협력, 한국과 영국의 대규모 데이터를 활용해서 아침형·저녁형과 인지기능 간의 관련성을 분석했다.

 

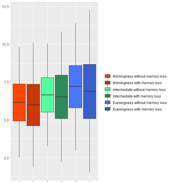
50만 명의 영국 성인들로부터 수집된 바이오뱅크 데이터베이스 중 일부인 약 2만6800명 이상(53세~86세 대상자)의 데이터를 활용, 횡단면 분석을 진행했다. 그 결과 저녁형이 아침형보다 인지기능이 높은 것으로 나타났으며, 아침형·저녁형에 따라 기억력 감소 정도가 다른 것도 확인할 수 있었다.

 

한의학연수면 (2).png

 

기상 및 취침시간에 따라 아침형·저녁형을 분류한 후 인지기능을 시험한 결과, 저녁형이 아침형보다 인지능력 평가에서 7~14% 더 높은 점수를 보였다.

 

또한 아침형·저녁형에 따라 기억력 감소 정도가 달라질 수 있으며, 유형에 따라 기억력 감소 위험을 낮추는 적정 수면시간이 다르게 나타났다.

 

박지은 박사는 “개인별 크로노타입에 따른 아침형·저녁형은 실제 수면의 질과 건강에 영향을 미치는 중요한 요인”이라며 “앞으로 이에 대한 지속적인 연구를 수행해 국민 건강 증진에 기여할 것”이라고 밝혔다.


한편 이번 연구는 과학기술정보통신부 산하 한의학연 기본사업 지원을 통해 수행됐다.

 

관련기사

가장 많이 본 뉴스

더보기

최신뉴스

더보기

뉴스

더보기