
자생한방병원 척추관절연구소(소장 하인혁)는 4일 경추척수증에 대한 비수술 한의통합치료의 임상적 유효성을 밝힌 연구논문을 발표했다고 밝혔다.
경추척수증은 경추의 퇴행성 변화 등으로 중추신경이 눌려 팔 감각 이상과 마비 등을 유발하는 질환으로, 말초신경을 압박하는 목디스크와 다르게 중추신경을 자극하고 있어 물리치료나 약물치료 등으로 잘 호전되지 않아 일반적으로 수술적 접근이 행해지는 특징이 있다.
이번 논문에 따르면 경추척수증 환자가 비수술 치료법인 한의통합치료를 받은 결과 통증과 기능장애는 줄고 삶의 질은 향상되는 것으로 나타났다. 해당 연구논문은 SCI(E)급 저널인 ‘Journal of pain research’(IF=3.133) 3월호에 게재됐다.
자생한방병원 척추관절연구소 조현우 원장 연구팀(해운대자생한방병원)은 2011년 1월부터 2018년 1월까지 경추척수증으로 전국 5개 자생한방병원(강남·대전·부천·인천·해운대)에 입원한 환자를 대상으로 연구를 진행했다. 연구팀은 신경학적 장애가 없는 환자를 제외하고 총 40명의 환자를 최종 대상자로 정했으며, 이들은 약 3주(21.9일)간 한의통합치료(추나요법·침치료·약침·한약 처방)를 받은 것으로 나타났다.
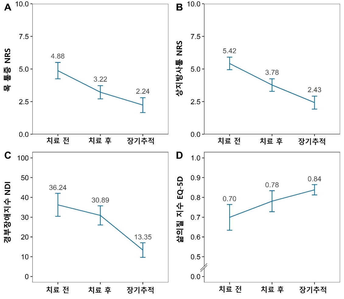
이어 연구팀은 한의통합치료의 유효성을 측정하는 지표로 △목·팔(상지) 통증 숫자평가척도(Numeric Rating Scale, NRS) △경부장애지수(Neck Disability Index, NDI) △삶의질 척도(EuroQol-5 Dimension, EQ-5D) 등을 활용했다. NRS는 통증 정도를 0∼10으로 표현한 척도로 숫자가 클수록 통증이 심함을 의미하며, 목 기능 상태를 나타내는 NDI(0∼100)도 점수가 높을수록 장애가 심함을 뜻한다. 또한 EQ-5D의 경우에는 좋은 상태를 1로 죽음보다 못한 건강상태를 마이너스 점수(-1)로 표현된다.
연구 결과 목·팔 통증 NRS는 각각 치료 전 중등도의 통증인 4.88, 5.42에서 한의통합치료 후 경미한 통증(3점대) 수준으로 떨어져 유의미한 치료 효과가 확인됐다. NDI 지표의 경우에는 중등도의 장애 수준인 36.24이 치료 후 30.89로 소폭 개선됐으며, 삶의 질에서도 EQ-5D 값은 0.70에서 0.78로 올라 긍정적인 변화가 확인됐다.

특히 이같은 호전 양상은 장기추적관찰에서 더 뚜렷한 변화를 보였다. 실제 연구팀은 치료 시점을 기준으로 약 2년 6개월 뒤 장기추적 설문조사를 실시했으며 총 21명이 참여했다. 추적 결과 목·팔 통증 NRS는 경미한 수준인 2점대로 감소했으며, 특히 NDI의 경우 13.35로 대폭 개선돼 장애가 경미한 수준으로 떨어지는 것으로 나타나는 한편 환자 치료 만족도 조사에서도 단 1명을 제외하고 95.8%(20명)가 ‘호전됐다’고 답했다.
이와 관련 논문의 제1저자인 해운대자생한방병원 조현우 원장(사진)은 “침습적 치료법이 주로 고려됐던 경추척수증 치료에 한의통합치료가 장기적인 관점에서 통증과 기능장애를 효과적으로 개선하고 삶의 질까지 향상시킬 수 있다는 것이 이번 연구를 통해 확인됐다”며 “앞으로도 다양한 근골격계 질환 비수술 치료에서 한의통합치료의 표준화를 위한 객관적인 근거 중심의 연구를 이어나갈 것”이라고 말했다.
